3. Análisis del impacto del incremento salario mínimo 2023-2025
Entender el impacto de los aumentos del salario mínimo parte de un principio fundamental establecido en la sección anterior: no todas las unidades económicas están igualmente expuestas a los cambios en el salario mínimo. Ya se trate de individuos, empresas, sectores o regiones, aquellas cuyos salarios promedio se sitúan más cerca del umbral del salario mínimo son las más afectadas por sus incrementos.
Esta heterogeneidad inicial en la exposición constituye la base del análisis empírico. Al comparar la evolución de los salarios y del empleo entre unidades con distinta cercanía al salario mínimo antes y después de los ajustes, es posible intentar aislar el efecto causal de las variaciones del salario mínimo sobre las principales variables laborales. No obstante, este ejercicio depende del supuesto de que las unidades más y menos expuestas habrían tenido trayectorias salariales y de empleo similares en ausencia de cambios en el salario mínimo.
Además, identificar los efectos del incremento del salario mínimo en Chile entre 2023 y 2025 presenta retos adicionales.
Primero, como se discutió en la sección anterior, el salario mínimo real en Chile venía creciendo de manera sostenida durante al menos los últimos 25 años, y su relación con el salario promedio aumentó de manera continua desde 2015. Por tanto, el “experimento” del incremento reciente compara un período de fuerte crecimiento del salario mínimo con otro de crecimiento más moderado, reduciendo la claridad del contraste.
Segundo, el aumento del salario mínimo no ha ocurrido de forma aislada. En los últimos años se aprobaron reformas estructurales que modifican los costos laborales y, por ende, la capacidad de las empresas para absorber los incrementos salariales. Entre las medidas más relevantes destacan:
- (a) La reducción gradual de la jornada laboral de 45 a 40 horas semanales en 2023.
- (b) La reforma de pensiones, que incrementa progresivamente en siete puntos porcentuales la cotización obligatoria, iniciando con un alza de 1% en 2025.
- c) La obligación de cotización para trabajadores independientes (Ley 21.133 de 2019), que amplía la base contributiva.
Estos cambios regulatorios paralelos hacen que aislar el impacto causal del salario mínimo sobre variables macroeconómicas —como inflación, empleo o distribución salarial sea particularmente complejo, pues las políticas de ingresos están entrelazadas con un proceso más amplio de reformas laborales y de seguridad social. A su vez, los mercados laborales de la región, y en particular el de Chile, experimentaron un shock sin precedentes durante 2020–2021 debido al COVID-19, cuyos efectos sobre la dinámica empresarial fueron significativos y todavía visibles en los patrones de empleo, rotación y composición sectorial.
A estas consideraciones se suma que el período analizado coincide con transformaciones estructurales más amplias del mercado laboral, tanto a nivel nacional como global, que pueden haber influido en la dinámica del empleo y los salarios de manera diferencial entre unidades económicas. En particular, tendencias seculares como la automatización, la adopción de nuevas tecnologías digitales y la expansión del trabajo remoto —procesos que se intensificaron durante la primera mitad de la década han tenido impactos potencialmente relevantes sobre la creación y destrucción de empleo, así como sobre la organización productiva de las firmas. Estas tendencias no necesariamente afectan de forma homogénea a todas las empresas o trabajadores: es plausible que firmas con distintos niveles de productividad, escala o composición ocupacional y, por ende, con distinta exposición inicial al salario mínimo, enfrenten estos cambios de manera desigual.
En este contexto de profundas transformaciones laborales y regulatorias, el análisis empírico se centra en estimar de manera rigurosa los efectos del incremento del salario mínimo en el período 2023–2025. Para ello, nos apoyamos en la heterogeneidad inicial en la exposición de distintas unidades económicas al salario mínimo —personas, empresas, sectores y regiones y comparamos su evolución relativa antes y después de los ajustes. Si bien este enfoque permite aproximar un efecto causal, debe interpretarse con cautela debido a las tendencias preexistentes, las reformas estructurales concurrentes y las secuelas de la crisis del COVID-19, que alteraron significativamente la dinámica productiva y laboral del país.
3.1 Los efectos directos del incremento del salario mínimo
Los trabajadores más cercanos al umbral del salario mínimo son quienes registran los mayores aumentos salariales tras un ajuste del SM.
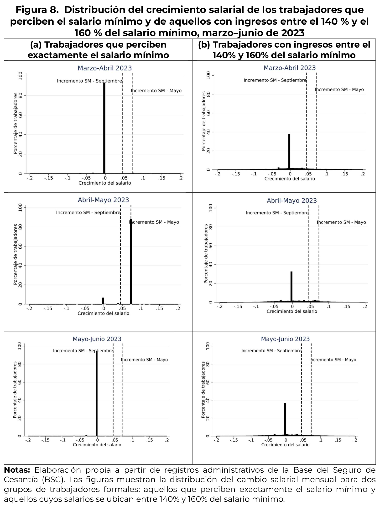
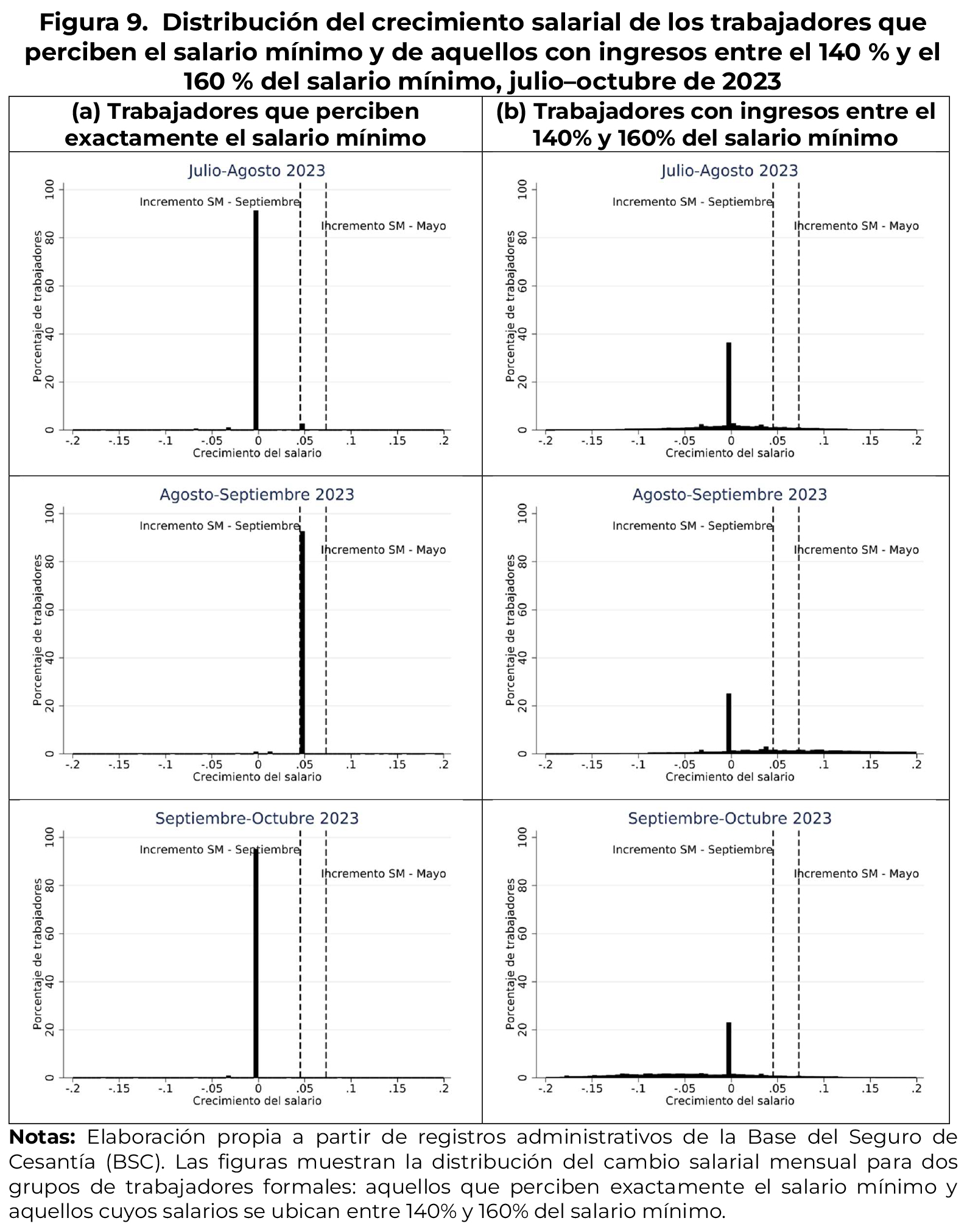
Un buen punto de partida para entender los efectos de la política es observar qué ocurre con los trabajadores cercanos al salario mínimo durante los periodos en que este se incrementa. Para ello, analizamos los cambios salariales ocurridos alrededor de los aumentos del salario mínimo en 2023,
cuando el salario mínimo se elevó en dos ocasiones: primero en mayo (+7,3%), de 410.000 a 440.000 pesos, y luego en septiembre (+4,5%), de 440.000 a 460.000 pesos.
La Figura 8 y la Figura 9 muestran la distribución del crecimiento salarial mensual para tres momentos en torno a cada ajuste: el mes previo al incremento, el mes en que entra en vigor el nuevo salario mínimo, y el mes posterior. El análisis compara dos grupos de trabajadores formales: aquellos que ganaban exactamente el salario mínimo en el mes previo al aumento (alrededor del 5% de los trabajadores), y aquellos que percibían entre 140% y 160% del salario mínimo.
Los resultados revelan un patrón claro y consistente. En los meses previos a los incrementos (abril y agosto), la gran mayoría de los trabajadores que percibían el salario mínimo registraba un crecimiento salarial nulo, lo que refleja un fuerte efecto de anclaje en torno a ese umbral. En contraste, en los meses de incremento del salario mínimo, entre 90% y 95% de estos trabajadores experimentaron aumentos salariales exactamente iguales al del salario mínimo, lo que evidencia una transmisión inmediata y mecánica de la política sobre sus ingresos. Un patrón similar se observa para los trabajadores alrededor del 125% del salario mínimo (otro punto de anclaje del SM). Por el contrario, los trabajadores situados entre 140% y 160% del salario mínimo exhiben variaciones salariales mucho menores y sin relación con los ajustes del mínimo, lo que indica que los efectos directos de la política se concentran fuertemente en la base de la distribución salarial.
La precisión temporal de los ajustes salariales observados para los trabajadores que perciben el salario mínimo (tanto en mayo como en septiembre) sugiere dos mecanismos complementarios. Primero, las empresas no anticipan los cambios sucesivos del salario mínimo, sino que esperan hasta el momento en que el nuevo nivel se vuelve efectivamente vinculante para realizar los ajustes salariales. Segundo, los aumentos de salario ocurren exactamente en el mes en que entra en vigor la normativa, lo que evidencia un alto grado de cumplimiento efectivo de la legislación sobre salario mínimo. En conjunto, la magnitud y el momento de los cambios salariales refuerzan la interpretación de que el salario mínimo se transmite de manera inmediata y mecánica a los ingresos de los trabajadores más cercanos a su umbral, sin generar ajustes salariales comparables en los tramos superiores de la distribución.


Las empresas con más trabajadores cercanos al salario mínimo aumentan el salario promedio a mayor ritmo en el periodo 2023-2025.
Un análisis complementario consiste en examinar cómo reaccionan las empresas ante los aumentos del salario mínimo, dado que son ellas quienes ajustan los salarios individuales y, por tanto, constituyen el canal operativo mediante el cual la política se transmite al mercado laboral. Para ello, analizamos el comportamiento de las firmas alrededor de los incrementos de 2023, siguiendo una lógica similar a la empleada en el análisis para trabajadores.
El primer paso consiste en identificar qué empresas estaban más expuestas a los incrementos del salario mínimo de marzo de 2023. Para ello, utilizamos un panel de firmas que permanecen de manera continua en el seguro de cesantía entre 2022 y 2025. Para cada empresa calculamos el porcentaje de trabajadores que ganaba el salario mínimo o hasta un 125% del salario mínimo, promediando esta información entre marzo de 2022 y marzo de 2023. A este indicador lo denominamos exposición al salario mínimo.8
La Figura 10 presenta la distribución de esta exposición entre las firmas de la muestra. Se observa que, para aproximadamente el 20% de las empresas del país, al menos el 60% de sus trabajadores ganaban el salario mínimo o estaban muy cerca de él, mientras que para otro 20% de firmas la exposición es menor al 5%. Esta heterogeneidad en la estructura salarial es clave para entender cómo se transmiten los aumentos del salario mínimo a nivel agregado.
En línea con los patrones observados a nivel individual, la Figura 11 muestra que, durante el periodo comprendido entre marzo de 2023 y marzo de 2025, el incremento del salario promedio a nivel de firma fue significativamente mayor en las empresas más expuestas al salario mínimo que en aquellas con baja exposición. En otras palabras, las firmas con una mayor proporción de trabajadores ubicados en torno al salario mínimo registraron aumentos salariales acumulados considerablemente más altos que las firmas donde estos trabajadores representan una minoría.


Este patrón refuerza la evidencia de que los aumentos del salario mínimo generan efectos particularmente intensos en las empresas con estructuras salariales más concentradas en la base de la distribución, produciendo ajustes salariales más inmediatos y de mayor magnitud.
Los mercados laborales con salarios promedio más bajos presentan mayores incrementos salariales en el periodo 2023-2025.
Los resultados a nivel de individuo y a nivel empresas se trasladan de una manera natural a las distribuciones salariales de los distintos mercados laborales regionales del país. En este sentido, las comunas constituyen una unidad particularmente útil para estudiar cómo los aumentos del salario mínimo afectan a los territorios, ya que cada una presenta una estructura salarial distinta y, por lo tanto, diferentes grados de exposición a los ajustes del salario mínimo.9
Para ilustrar esa distinta exposición al salario mínimo, la Figura 12 muestra el número de comunas cuyos percentiles salariales se ubican por debajo, en torno o por encima del salario mínimo en marzo de 2023. Los resultados son ilustrativos: de las 346 comunas del país, en 113 —aproximadamente un tercio del total nacional el percentil 20 de la distribución salarial formal coincidía exactamente con el salario mínimo. Este número se reduce a 67 comunas para el percentil 30, 27 comunas para el percentil 40, y apenas 8 comunas para el percentil 50. También es interesante ver como el 125% del salario mínimo es otro punto de anclaje relevante, particularmente para percentiles más altos. En 101 comunas el percentil 40 de la distribución salarial es exactamente igual al 125% del salario mínimo. Estos patrones confirman que una fracción significativa de los mercados laborales locales del país (representado por sus comunas) presentan estructuras salariales estrechamente vinculadas al salario mínimo.
Además, la exposición al salario mínimo por comuna presenta una gran variabilidad. La Figura 13 muestra, para las 346 comunas del país, el porcentaje de trabajadores que perciben un ingreso menor o igual al 125% del salario mínimo en marzo del 2023. Las comunas se presentan ordenadas de mayor a menor según dicha proporción. Los resultados revelan una amplia heterogeneidad territorial en la exposición al salario mínimo. En algunas comunas, más del 70% de los trabajadores gana menos o igual al 125% del salario mínimo, mientras que en otras la proporción no supera el 20%.


¿Como influye esta exposición en la evolución salarial de las distintas comunas? La Figura 14 examina la relación entre la exposición inicial al salario mínimo y el crecimiento de los salarios comunales entre marzo de 2023 y marzo de 2025. En el eje horizontal se muestra el porcentaje de trabajadores que ganaban menos o igual al 125% del salario mínimo en marzo de 2023, mientras que en el eje vertical se representa el crecimiento del salario mediano (ver panel (a)) y del salario promedio (ver panel (b)) en el mismo período. Cada punto corresponde a una comuna.
Para facilitar la visualización, se incluyen únicamente las comunas con mayor tamaño del empleo formal, definidas como aquellas con más de 1.800 trabajadores formales en promedio durante el período, equivalente a la mediana del número de empleados por comuna. En el panel (a), las líneas punteadas señalan dos referencias relevantes: la vertical indica el punto en el que el 50% de los trabajadores ganaba menos o igual al 125% del salario mínimo en 2023, mientras que la horizontal representa el crecimiento acumulado del salario mínimo en el período.
Dos hechos sobresalen. Primero, se observa una correlación positiva entre la exposición inicial al salario mínimo y el crecimiento tanto del salario mediano como del salario promedio. En las comunas donde una mayor proporción de trabajadores se encontraba cerca del salario mínimo antes de los aumentos es decir, con una “mordida” más alta los salarios medianos y promedios tienden a crecer más rápidamente. En particular, un aumento en la exposición al salario mínimo de 0,2 a 0,6 se asocia con una diferencia de aproximadamente 4 puntos porcentuales en el incremento del salario promedio.
En segundo lugar, las comunas donde más de la mitad de los trabajadores ganaba menos o igual al 125% del salario mínimo en marzo del 2023 (y por lo tanto su mediana salarial era igual o menor al salario mínimo) presentan una concentración de puntos alineados con el crecimiento del salario mínimo. Esto indica que, en estas comunas, el salario mediano aumentó exactamente al mismo ritmo que el salario mínimo, reflejando un fuerte efecto de anclaje y compresión salarial en la parte baja y media de la distribución, indicando que incluso la mediana de alrededor de un tercio de las comunas del país está altamente influenciada por la evolución del salario mínimo.
En resumen, los incrementos del salario mínimo implementados desde 2023 coinciden con importantes aumentos en los salarios formales, que se observan en individuos, empresas y comunas más expuestas. Estos incrementos se concentran temporalmente en los meses exactos y en los montos exactos en que se produjeron los ajustes del salario mínimo, lo que sugiere una transmisión inmediata y localizada de la política sobre la base de la distribución salarial.

3.2 Identificación de los efectos de los incrementos salario mínimo entre 2023 y 2025 en salarios y empleo
La sección anterior mostró que los incrementos del salario mínimo generaron efectos diferenciados entre trabajadores, empresas y comunas con distintos niveles de exposición. Para evaluar en qué medida estos patrones pueden interpretarse como efectos causales de la política salarial, es necesario profundizar en la estrategia de identificación. El desafío central radica en demostrar que, en ausencia de los aumentos del salario mínimo, las unidades más expuestas y menos expuestas habrían seguido trayectorias similares. En otras palabras, debemos asegurarnos de que las diferencias observadas tras los incrementos no reflejan divergencias estructurales ni tendencias preexistentes entre ambos grupos, sino que capturan de manera genuina el efecto de los cambios regulatorios.
Un segundo aspecto clave se refiere a las posibles consecuencias no deseadas de la política. En particular, preocupa que los incrementos salariales induzcan ajustes a la baja en el empleo formal, especialmente entre firmas y mercados laborales con mayor exposición al salario mínimo. La siguiente sección aborda esta dimensión de manera sistemática, examinando si los aumentos del salario mínimo estuvieron asociados a efectos adversos sobre el empleo y la dinámica empresarial.
Para identificar los efectos de los aumentos del salario mínimo, comparamos la evolución de los salarios y el empleo en unidades (individuos, empresas, comunas) con distintos niveles de exposición al salario mínimo en marzo del 2023 antes y después de los incrementos. El análisis controla por factores inobservables constantes en el tiempo y por shocks agregados comunes a todas las unidades. A nivel de comuna, el análisis busca establecer si las comunas con mayor exposición inicial al salario mínimo —aquellas con una mayor proporción de trabajadores que ganaban menos o igual al 125% del salario mínimo antes del ajuste presentan trayectorias salariales y de empleo distintas respecto de las menos expuestas únicamente durante el periodo del alto crecimiento del salario mínimo (2023-2025). De este modo, se examina si las diferencias observadas en la evolución de los salarios y el empleo son efectivamente una respuesta a los cambios regulatorios, y no a que en estas comunas el mercado laboral ya se comportaba de manera sistemáticamente distinta en otros periodos.
Aunque el espíritu es el mismo a nivel individual, de empresa y de comuna, existen diferencias importantes asociadas al hecho de que tanto los trabajadores que pierden su empleo como las empresas que cierran desaparecen de la muestra. Por esta razón, para individuos y empresas se trabaja con paneles balanceados en un periodo corto alrededor de los cambios regulatorios, complementando el análisis con ejercicios específicos que estudian la probabilidad de perder el empleo a nivel individual y la probabilidad de que la empresa deje de operar.
En contraste, las comunas constituyen unidades que permanecen estables en el tiempo. Esto permite, en el análisis a nivel de comuna, estudiar la evolución agregada de salarios y empleo para el mercado laboral local en su conjunto, sin necesidad de considerar explícitamente la entrada y salida de trabajadores o empresas. De esta forma, los resultados a nivel comunal entregan una visión agregada de cómo cambia el mercado laboral local ante variaciones del salario mínimo, independientemente de la rotación de unidades específicas.
Tomado en conjunto, el análisis combinado de distintos niveles de agregación trabajador, firma y mercado laboral local ofrece una visión panorámica de los efectos de los aumentos del salario mínimo. Los resultados a nivel individual permiten cuantificar los impactos directos sobre salarios y permanencia en la formalidad; el nivel de empresa proporciona información sobre ajustes internos en las firmas; y el nivel comunal recoge los efectos agregados y posibles efectos de desborde (spillovers) a nivel del mercado laboral local.
3.2.1 Análisis a partir de impactos sobre trabajadores individuales
Estrategia empírica:
Para entender el impacto que periodos de un rápido aumentos en el salario mínimo tienen sobre los trabajadores, el análisis presentado a continuación utiliza los datos administrativos de la Base del Seguro de Cesantía (BSC). Esta base de datos registra información mensual para cada par empleado–empleador y permite medir, para cada trabajador, el salario total recibido durante el mes, el tipo de contrato bajo el que está contratado, así como características de la firma, entre ellas el sector económico en el que opera y la dirección informada por el RUT pagador, que se utiliza como proxy de la ubicación geográfica del empleador.
El objetivo principal de este análisis es describir qué ocurre con los trabajadores inicialmente empleados en trabajos de bajos salarios durante periodos de fuertes aumentos del salario mínimo. Para ello se compara el cambio en el crecimiento salarial y la permanencia en la formalidad de trabajadores con características similares en momentos de rápidas alzas del salario mínimo, en relación con periodos de alzas relativamente más moderadas.
Definiendo el periodo de rápidos aumentos recientes del salario mínimo como 2023–2025, comparamos la dinámica durante este periodo relativo a la evolución observada durante el periodo 2017–2019, cuando el incremento del salario mínimo fue moderado.10 El análisis se realiza con información de todos los trabajadores asalariados formales entre 18 y 55 años que cotizan al seguro de cesantía en todos los meses del año previo al inicio de cada periodo (esto es, durante todo 2022 y todo 2016, respectivamente). Esta definición permite enfocarse en trabajadores fuertemente vinculados al sector formal, en una muestra donde se espera una menor variación estacional en la tasa de vinculación al sector formal.
Basado en esta muestra, se categoriza a cada trabajador en un tramo salarial según el salario inicial reportado en el mes de marzo del año inicial de cada periodo de análisis (expresado como múltiplo del salario mínimo). Se definen 24 tramos salariales que cubren el rango entre 0,25 y 6 veces el salario mínimo.
Para cada trabajador en cada tramo salarial se calcula el crecimiento observado en su salario durante los dos años siguientes, así como dos medidas de permanencia en empleo formal: el número de meses en los que aparece como cotizante en la BSC durante ese periodo, y un indicador que toma valor 1 si el trabajador sigue con un empleo formal dos años después y 0 en caso contrario.
El análisis se centra en estimar las diferencias promedio en el crecimiento salarial y en las medidas de permanencia en la formalidad para los trabajadores de cada tramo salarial entre los dos periodos de análisis. La estimación se basa en una regresión de diferencias–en–diferencias en la que, para cada trabajador, la variable dependiente es el cambio de las variables de interés a lo largo de un periodo de dos años, comparando ese cambio con el observado para trabajadores del mismo tramo salarial durante el periodo de bajo crecimiento del salario mínimo. Además de comparar trabajadores con remuneraciones iniciales muy similares, la regresión controla por características individuales observables medidas en el año inicial, tales como el sector de la firma empleadora, la edad y el género del trabajador. Formalmente, para un trabajador 𝑖 en el año 𝑡 , ubicado en el tramo salarial 𝑏k en el periodo 𝑡− 2 , se estima la regresión

Donde denota el crecimiento salarial, la probabilidad de permanecer en empleo formal dos años después, o la proporción de meses durante el periodo de dos años en que aparece como cotizante en el seguro de cesantía:

El resultado de interés es el conjunto de coeficientes , uno por tramo salarial.
Cada coeficiente resume, para el tramo correspondiente, el “exceso de cambio” del resultado entre 2023 y 2025 en relación con el cambio observado entre 2017 y 2019, indicando cuánto más (o menos) crecieron los salarios o la permanencia en empleo formal de los trabajadores de ese tramo salarial durante el periodo reciente de aumentos del salario mínimo, en comparación con la experiencia del periodo de referencia. Todas las regresiones se estiman mediante Mínimos Cuadrados Ordinarios con errores estándar robustos a heteroscedasticidad.
Resultados principales
La Figura 15 muestra los coeficientes estimados en base a la ecuación (1) para el crecimiento salarial por tramo salarial inicial. El eje horizontal indica el salario original como proporción del salario mínimo, mientras que el eje vertical representa el exceso de crecimiento salarial en el periodo 2023–2025 respecto del crecimiento en 2017–2019.
La gráfica muestra un patrón claro de mayor crecimiento en los salarios de la parte baja de la distribución durante el periodo 2023–2025. Para los trabajadores que, en el año inicial, recibían entre 1 y 1,25 veces el salario mínimo, el exceso de crecimiento salarial (relativo a 2017-2019) fue alrededor de 4 puntos porcentuales. Este crecimiento salarial no se restringe únicamente a trabajadores que recibieron exactamente el salario mínimo: para el tramo inmediatamente superior, correspondiente a trabajadores recibiendo entre
1.25 y 1.5 veces el salario mínimo, el coeficiente también es positivo y estadísticamente significativo, con un valor de alrededor de 1,75 puntos porcentuales. El gráfico sugiere que el exceso de crecimiento salarial se va atenuando progresivamente a medida que los tramos de salario inicial se hacen más altos. Para niveles salariales por encima de 3–4 veces el mínimo, la magnitud de los coeficientes es relativamente pequeña y los intervalos de confianza suelen cubrir al cero. Estos resultados muestran que periodos de alto incremento en el salario mínimo producen alzas en los salarios de trabajadores específicamente ubicados en la parte baja de la distribución, sin cambios relevantes en el crecimiento salarial de los tramos más altos.
Las Figura 16 y Figura 17 muestran que los incrementos en salarios vienen acompañados por cambios en la probabilidad de que un trabajador permanezca vinculado a un trabajo formal y en la frecuencia con la que cotiza al seguro de cesantía.
El eje vertical de la Figura 16 indica el exceso de cambio en la tasa de permanencia formal entre 2023–2025 respecto a 2017–2019. Para el tramo de trabajadores que ganaban alrededor del salario mínimo, el coeficiente estimado es claramente negativo y del orden de 3 a 4 puntos porcentuales menos de probabilidad de seguir en empleo formal en 2023–2025 en comparación con el cambio observado para trabajadores similares en 2017–2019. Para tramos adyacentes en la parte baja de la distribución —aquellos con salarios iniciales algo por debajo y algo por encima del salario mínimo—también se observan coeficientes negativos, aunque de magnitud algo menor y con bandas de confianza que, en algunos casos, cubren el cero.



Robustez de los resultados individuales:
Para evaluar la robustez de los resultados a nivel individual, se realizan ejercicios en los que se modifica el periodo de comparación utilizado en el análisis principal. La motivación de este ejercicio es realizar una estimación tipo placebo: si los patrones observados en el período 2023–2025 responden efectivamente a un episodio excepcional de aumentos acelerados del salario mínimo, al comparar períodos en los que las alzas fueron más moderadas dichos patrones deberían atenuarse. Con este objetivo, se replica la misma metodología comparando 2017–2019 con los periodos 2015–2017 y 2013–2015. Mientras que el crecimiento real del salario mínimo en 2017-2019 fue del 2,1%, en 2015-2017 y 2013-2015 fue de 4,7% y 4% respectivamente. De tal manera, si el salario mínimo fuera el causante de los patrones observados en el ejercicio anterior, para el periodo 2017-2019 deberíamos observar que los ingresos de los trabajadores más cercanos al salario mínimo (relativos a los de más altos ingresos) crecen menos que en 2015-2017 y 2013-2015, y que la probabilidad relativa de empleo formal crece a un ritmo mayor.
Los resultados de estos ejercicios se muestran en la Figura A3 en el apéndice. En cuanto al crecimiento salarial, los resultados son consistentes con el hecho de que 2017-2019 fue un periodo de crecimiento relativamente bajo del salario mínimo real: en comparación con periodos previos, los trabajadores de menores ingresos exhiben un menor crecimiento relativo en su salario. Por el contrario, los resultados para la probabilidad de permanecer en el sector formal no siguen el patrón esperado, ya que, en comparación con períodos anteriores, el menor crecimiento salarial se ve acompañado de reducciones relativas en la probabilidad de permanecer en el empleo formal en el periodo 2017-2019.
Estos resultados muestran que las estimaciones a nivel individual sobre la relación entre diferencias relativas en el crecimiento salarial y la probabilidad de permanecer en la formalidad no son robustas a la elección del período de comparación. Esto sugiere que, a nivel individual, la relación entre aumentos del salario mínimo y cambios en la formalidad laboral estuvo influenciada por factores macroeconómicos y tendencias seculares a nivel sectorial del mercado laboral que no quedan plenamente aislados por este diseño empírico.
3.2.2 Análisis a partir de impactos sobre firmas
Estrategia Empírica
El análisis a nivel de firma permite seguir la evolución del empleo y del salario promedio de las empresas según el nivel de exposición en que se encontraban al inicio del periodo de alzas del salario mínimo. El objetivo es comparar la trayectoria de firmas que enfrentaron una mayor presión por los incrementos del salario mínimo con la de aquellas cuya estructura salarial inicial las hacía menos sensibles a estos cambios.
Para capturar el impacto neto sobre el margen intensivo de las alzas salariales, en los ejercicios principales se define la muestra como el conjunto de firmas que aparecen registradas en la Base del Seguro de Cesantía (BSC) en todos los meses entre enero de 2010 y mayo de 2025. Trabajar con esta muestra de presencia continua permite aislar los efectos observados en empleo de la creación y salida de firmas en la economía. La muestra así definida está compuesta por 45.413 firmas.
Para comparar la evolución de las variables de resultado entre firmas, se explota la variación en el nivel de exposición de cada empresa a las alzas del salario mínimo nacional. Las medidas de exposición permiten contrastar firmas que potencialmente debieron realizar ajustes significativos en su estrategia de contratación e inversión con firmas que, debido a tener una menor proporción de trabajadores inicialmente afectos al salario mínimo, no enfrentaron la necesidad de ajustes de gran envergadura.
La medida principal de exposición utilizada es la fracción de trabajadores de la firma que, durante el periodo abril 2022–marzo 2023, recibían un salario igual o menor a 1,25 veces el salario mínimo. Formalmente, se define como

Sobre esta base se estiman regresiones con efectos fijos de firma y de año, en las que la variable dependiente corresponde a distintos resultados a nivel de empresa como el empleo total o el salario promedio, y en donde la exposición se interactúa con indicadores temporales para identificar cómo difieren las trayectorias de las firmas más y menos expuestas a lo largo del tiempo. El período de análisis cubre 2010–2025, lo que permite contrastar episodios de incrementos moderados del salario mínimo con el ciclo reciente de aumentos más pronunciados. Específicamente, se estiman regresiones del tipo

donde 𝛼j son efectos fijos de firma, 𝜆t son efectos fijos de año, 𝑆j es la medida de exposición de la firma 𝑗 y 𝑦jt representa un resultado a nivel de firma (como el empleo o el salario promedio).
Adicionalmente, para cuantificar la importancia del margen extensivo —esto es, el cierre de firmas que los incrementos del salario mínimo podrían inducir—se define una segunda muestra compuesta por firmas presentes en la BSC en todos los meses entre enero de 2010 y diciembre de 2022. Sobre esta muestra se construye, para cada año , una variable dicotómica que toma el valor 1 si la firma aparece en la BSC en ese año y 0 en caso contrario. Utilizando esta variable como dependiente se estima la regresión (2), lo que permite evaluar en qué medida las firmas altamente expuestas al salario mínimo presentan una probabilidad mayor de salir del registro formal en comparación con las firmas con baja exposición. Todas las regresiones se estiman mediante Mínimos Cuadrados Ordinarios con errores estándar agrupados a nivel de firma.
Resultados principales
La Figura 18 y la Figura 19 presentan los resultados de estimar la ecuación (2) para el salario promedio y el empleo total de la firma, utilizando como medida de exposición la versión dicotómica de la variable definida como la fracción de
trabajadores de la firma que, durante el período abril 2022–marzo 2023, recibían un salario igual o menor a 1,25 veces el salario mínimo. En ambas figuras, el eje vertical muestra el efecto estimado para cada año en relación con el nivel de 2022, y la comparación se realiza entre firmas ubicadas por encima y por debajo de la mediana de exposición.
Los resultados de estas estimaciones indican que las firmas más expuestas a las alzas del salario mínimo presentan un aumento del salario promedio sustancialmente mayor que las firmas menos expuestas: hacia 2025, el
coeficiente corresponde aproximadamente a un incremento del 8 % en el salario promedio relativo al observado en las firmas con menor exposición. En contraste, el empleo total en las firmas más expuestas muestra una caída paulatina que llega, hacia 2025, a una reducción cercana al 7% en comparación con las firmas menos expuestas.

En cuanto al margen extensivo, la Figura 20 resume los resultados de estimar la ecuación (2) utilizando como variable dependiente un indicador de presencia de la firma en la BSC. En este caso, los coeficientes sugieren que las firmas con mayores niveles de exposición en 2022 tenían, para 2025, una probabilidad aproximadamente 5 puntos porcentuales más alta de haber salido del registro formal que las firmas relativamente menos expuestas. Este resultado indica que las diferencias en empleo entre firmas más y menos expuestas se explican tanto por ajustes dentro de las firmas que continúan operando como por una mayor probabilidad de cierre entre las firmas más expuestas.
Los resultados a nivel de firma revelan, sin embargo, la presencia de marcadas tendencias preexistentes diferenciales antes de 2022 tanto en la trayectoria del salario promedio como en la del empleo. En las figuras se observa que, ya desde comienzos del período de análisis, las firmas que resultan más expuestas en 2022 venían siguiendo trayectorias de salarios y empleo distintas a las de las firmas menos expuestas. La ausencia de tendencias paralelas en los años previos sugiere que estos dos grupos de firmas diferían en otras características desde antes de los aumentos recientes del salario mínimo y que sus dinámicas de empleo y salarios estaban siendo afectadas de manera diferenciada desde tiempo atrás.

La imposibilidad de identificar un grupo de firmas con niveles de exposición comparables pero similares en otras dimensiones potencialmente no observables —es decir, un grupo para el cual el supuesto de tendencias paralelas pudiera sostenerse con mayor confianza hace que los resultados a nivel de firma sean, en última instancia, no concluyentes en términos causales. Por esta razón, la interpretación de los coeficientes de empleo y salario debe hacerse con cautela, y el análisis que sigue se centra en los efectos agregados a nivel de mercado laboral, donde la estrategia de identificación resulta más sólida.
3.2.3 Análisis a partir de impactos sobre comunas
Estrategia Empírica
El análisis a nivel de comuna permite seguir la evolución agregada del mercado laboral local independientemente del destino de trabajadores y empresas específicas. Aun cuando una firma cierre o un trabajador cambie de empleador o de sector, estos movimientos quedan reflejados en las estadísticas comunales de salarios y empleo, de modo que esta aproximación captura el efecto neto de los aumentos del salario mínimo sobre el conjunto del mercado laboral de cada comuna.

Para comparar mercados laborales según el nivel de exposición que tuvieron al alza del salario mínimo, utilizamos como medida principal la fracción de trabajadores de cada comuna que, en marzo de 2023, recibían un salario igual o menor a 1,25 veces el salario mínimo. Esta medida resume de forma directa qué tan extendida era la presencia de trabajadores cercanos al mínimo antes del ciclo reciente de aumentos y, por lo tanto, qué tan sensible podría ser el mercado laboral local a cambios en el piso salarial. Comunas con una mayor proporción de trabajadores en este rango enfrentan, mecánicamente, una mayor fracción de empleos potencialmente afectados por los ajustes regulatorios.
Sobre esta base, se compara la evolución de los salarios promedio y del empleo formal entre comunas con mayor y menor exposición inicial al salario mínimo, controlando por diferencias permanentes entre comunas y por shocks agregados comunes en el tiempo:

donde 𝑦 representa el logaritmo del salario promedio o el logaritmo del empleo formal en la comuna 𝑐, en el año 𝑡 y el mes 𝑚; 𝛼 y 𝛼 son efectos fijos de comuna y año-mes, respectivamente, y 𝑆 es la exposición a cambios en el salario mínimo a nivel de comuna, construida a partir de alguna de las medidas descritas anteriormente.
Para facilitar la interpretación de los resultados, además de utilizar la medida continua de exposición, se emplea también una versión dicotómica que clasifica a las comunas según si su nivel de exposición se encuentra por encima o por debajo de la mediana nacional. Esta clasificación permite interpretar los coeficientes como la diferencia promedio en la evolución de las variables de interés entre comunas relativamente más expuestas y menos expuestas al salario mínimo. Finalmente, la variable 1(𝜅 = 𝑡) es un indicador para cada año relativo al evento, con 𝜅 = 0 en el año de implementación (2023), y 𝜅 = −1 como período base, donde el año excluido es 2022. Los coeficientes capturan cómo difieren las trayectorias salariales entre comunas más y menos expuestas al salario mínimo a lo largo del tiempo. Las regresiones se estiman mediante Mínimos Cuadrados Ordinarios con errores estándar agrupados a nivel de comuna.
El período de análisis abarca de 2010 a 2025, lo que permite aprovechar la variación asociada a los distintos episodios de ajuste del salario mínimo a lo largo de más de una década. Durante este lapso se registran tanto fases de incrementos moderados como períodos de alzas sustantivas, lo que brinda un laboratorio natural para identificar los momentos en que las comunas más expuestas se apartan en su evolución salarial de aquellas menos afectadas.
Los resultados se presentan gráficamente mostrando los coeficientes y sus intervalos de confianza al 95 %. Este enfoque permite verificar la validez del supuesto de tendencias paralelas en los períodos previos a los ajustes y analizar la dinámica del impacto posterior, evaluando la magnitud y la persistencia de los efectos de los aumentos del salario mínimo sobre los distintos tramos de la distribución salarial.
Resultados principales
Los resultados principales a nivel de comuna se muestran en la Figura 21, la Figura 22, y la Figura 23. Cada gráfico muestra los coeficientes 𝛽 obtenidos de estimar la ecuación (3) para una muestra de 346 comunas, usando como medida de exposición un indicador dicotómico el valor 1 para comunas ubicadas por encima de la mediana del porcentaje de trabajadores que reciben 1,25 veces o menos el salario mínimo, y 0 en caso contrario. La Figura 21 muestra los efectos estimados sobre el logaritmo del salario promedio comunal; la Figura 22, sobre el logaritmo del empleo formal total; y la Figura 23, sobre el logaritmo de la masa salarial comunal, definida como la suma de las remuneraciones de todos los trabajadores empleados en cada comuna en cada año.

En contraste, en las regresiones de empleo, los coeficientes posteriores a 2023 se vuelven negativos, llegando a cerca de –5% en 2025, lo que sugiere un ajuste a la baja en el empleo formal en comunas con mayor exposición al salario mínimo. Como consecuencia de estos dos efectos —mayor salario y menor empleo la masa salarial comunal no muestra variaciones estadísticamente significativas a lo largo del periodo posterior a los aumentos.
En segundo lugar, antes de 2023, los coeficientes no presentan una tendencia discernible y, en su mayoría, no son estadísticamente significativos. Aunque algunas estimaciones muestran magnitudes distintas de cero, los intervalos de confianza son amplios y las estimaciones imprecisas. Esto sugiere que no existía una relación sistemática previa entre la evolución del empleo o de los salarios y la exposición al salario mínimo, aunque en periodos previos la evolución tanto de los salarios promedio y del empleo podría diferir de manera sustantiva (aunque no significativa) entre municipalidades altamente expuestas y menos expuestas en marzo de 2023.

¿En qué tipo de trabajadores se concentran los efectos?
Los resultados muestran que, en promedio, los mercados laborales más expuestos ex ante a alzas en el salario mínimo registraron tanto un mayor crecimiento del salario promedio como una mayor caída en el crecimiento del empleo. Para entender en qué tipo de trabajadores se concentra este efecto promedio, la Tabla 2 presenta los coeficientes para el año 2025 de la estimación de la ecuación (3) en distintas submuestras de trabajadores definidas según la información registrada en la Base del Seguro de Cesantía (BSC). Los coeficientes se interpretan como la diferencia, en 2025, en la evolución de cada variable dependiente —en relación con el nivel de 2022 entre comunas altamente expuestas a incrementos en el salario mínimo y comunas con baja exposición.
En términos de salarios, los incrementos se observan para trabajadores de todos los grupos etarios, con aumentos más pronunciados en el grupo de 26 a 45 años. Estos incrementos se concentran en trabajadores en firmas que tienen entre 1 y 199 empleados, con efectos más fuertes en el rango de 51 a 199 trabajadores. Las firmas en el tramo de mayor tamaño (200 o más empleados) muestran un incremento salarial promedio muy cercano a cero, consistente con el hecho de que estas empresas pagan salarios promedio más altos y por tanto están relativamente menos expuestas a los incrementos del salario mínimo. Los efectos de aumento salarial se observan tanto en hombres como en mujeres, pero la magnitud del incremento en el salario promedio de los hombres es aproximadamente 80% mayor que la observada para las mujeres (4,2 puntos porcentuales frente a 2,3 puntos porcentuales).
En cuanto al empleo, la caída estimada se concentra principalmente en hombres, trabajadores jóvenes (18 a 35 años), empleados en firmas pequeñas (1 a 9 trabajadores). Para los trabajadores en el rango de edad de 36 a 55 años también se observan reducciones en el empleo, aunque de menor magnitud que para los jóvenes (5,5 puntos porcentuales para el grupo de 36–55 frente a 8,4 puntos porcentuales para los jóvenes). Mientras que la caída estimada en el empleo de los hombres es cercana a 5 puntos porcentuales, la caída en el empleo de las mujeres es prácticamente nula. Esta diferencia entre hombres y mujeres en los efectos estimados sobre el empleo es llamativa, pero podría explicarse por diferencias composicionales a nivel de género en los sectores y ocupaciones con mayor exposición al salario mínimo.
Finalmente, aunque los efectos sobre el nivel de empleo en las firmas relativamente más grandes no son estadísticamente significativos, los coeficientes son positivos y se traducen en incrementos en la masa salarial promedio de este tipo de firmas, lo que es consistente con cierta reasignación de trabajadores desde firmas más pequeñas hacia firmas más grandes.

Al desagregar el análisis por sector económico (ver Tabla 3), los resultados confirman una heterogeneidad importante en la transmisión de las alzas del salario mínimo hacia salarios y empleo. En línea con lo observado en el análisis agregado, los efectos sobre salarios tienden a ser positivos en la mayoría de los sectores, aunque su magnitud y precisión varían sustantivamente entre actividades. Los incrementos salariales estimados son más notorios en la industria manufacturera, alojamiento y servicios de comida, comercio y actividades científicas o técnicas, mientras que en sectores como la administración pública o la explotación de minas y canteras los efectos salariales son más acotados o estadísticamente indistinguibles de cero, lo que refleja a una menor sensibilidad salarial a variaciones en la exposición al salario mínimo en estos sectores.

En cuanto al empleo, la evidencia de reducciones relativas se concentra en un conjunto más acotado de sectores. En particular, las caídas de mayor magnitud en el empleo formal aparecen en actividades como agricultura, construcción, alojamiento y servicios de comida, actividades inmobiliarias y actividades artísticas, así como, de manera destacada, en el sector financiero. Con la excepción de las actividades financieras, se trata en general de sectores caracterizados por una estructura salarial relativamente baja, en los que el salario promedio de los trabajadores se ubica más cerca del salario mínimo y, por lo tanto, la exposición a sus incrementos es mayor.
En conjunto, el patrón sectorial sugiere que, si existe un ajuste en el empleo asociado al ciclo reciente de aumentos del salario mínimo, este tiende a concentrarse principalmente en sectores con mayor exposición ex ante y en aquellos donde es más plausible que el salario mínimo sea efectivamente vinculante. No obstante, como se observa en los paneles de la Figura A6 en el apéndice, para muchos sectores individuales se identifican diferencias en las trayectorias previas a 2022, lo que debilita el supuesto de tendencias paralelas. En consecuencia, estos resultados deben interpretarse como evidencia descriptiva de asociaciones sectoriales y no como estimaciones causales del efecto de los incrementos del salario mínimo sobre las variables dependientes analizadas.
Heterogeneidad por intensidad de exposición

Dividir las comunas en cuartiles de exposición al salario mínimo permite capturar la heterogeneidad en la intensidad del tratamiento y analizar cómo los efectos de los aumentos se distribuyen a lo largo de la estructura salarial. Mientras la variable continua de exposición resume la proporción de trabajadores cercanos al salario mínimo, la clasificación en cuartiles facilita una interpretación más intuitiva y no paramétrica: compara directamente las trayectorias de las comunas con baja, media y alta incidencia del salario mínimo. Este enfoque permite evaluar si los impactos sobre salarios y empleo son monotónicos y crecientes con el grado de exposición, o si existen umbrales no lineales a partir de los cuales los efectos se amplifican o cambian de signo, aportando así una lectura más rica sobre la dinámica distributiva y de ajuste del mercado laboral.
El análisis conjunto de los resultados para salarios y empleo muestra un patrón coherente con el efecto esperado de los aumentos del salario mínimo en 2023 sobre las comunas con distintos niveles de exposición. Como se observa en la Figura 24, en términos salariales, los efectos estimados evidencian un incremento claro y progresivo del salario promedio en las comunas más expuestas. Tanto con la medida continua como con la clasificación por cuartiles, los coeficientes posteriores a 2023 se vuelven positivos y crecen de forma sostenida hasta 2025. Las comunas en el cuartil superior de exposición (Q4) presentan aumentos acumulados cercanos a 5% respecto de las menos expuestas, mientras que los cuartiles intermedios muestran incrementos más moderados. Este patrón sugiere que el ajuste del salario mínimo se trasladó con fuerza a los salarios de los trabajadores cercanos al umbral, sin evidencias de desplazamientos hacia arriba en los grupos menos afectados.

Por su parte, los resultados para el empleo presentados en la Figura 25 indican que estos aumentos no fueron neutros en el margen. Si bien los efectos son pequeños y en general imprecisos, los coeficientes tienden a volverse negativos en los años posteriores a 2023, especialmente en las comunas de mayor exposición. En los cuartiles superiores (Q3 y Q4) se observa una ligera caída del empleo formal —de alrededor de 7% hacia 2025 en relación con las comunas menos expuestas. En conjunto, estos resultados son consistentes con un escenario donde los aumentos del salario mínimo lograron elevar los salarios reales en los segmentos bajos, pero con ajustes marginales en el empleo formal en los territorios más afectados, lo que sugiere una moderada compensación entre mayores ingresos y menores niveles de ocupación.

Finalmente, como se observa en la Figura 26, la combinación de un impacto positivo sobre los salarios y una caída en el empleo implica que los efectos sobre la masa salarial (salario promedio multiplicado por el número de trabajadores) son, en conjunto, cercanos a cero en todas las especificaciones. Este patrón sugiere que los aumentos salariales compensan, en promedio, la reducción en el número de puestos de trabajo, sin generar cambios agregados relevantes en la masa salarial.
¿Qué significan estas pérdidas de empleo en términos agregados?
Traducir los coeficientes estimados en impactos agregados sobre el empleo requiere ajustar por el hecho de que las comunas más expuestas tienden, en promedio, a tener un menor número de trabajadores que las comunas menos expuestas. Como una aproximación del impacto agregado en niveles, una forma de interpretar el coeficiente estimado de -4% en el crecimiento relativo del empleo formal en las comunas más expuestas es aplicarlo al nivel promedio de empleo formal observado en el grupo tratado. Con un promedio de 459.489 trabajadores formales en 2022 en el conjunto de comunas de alta exposición, el impacto agregado implícito es del orden de 18 mil empleos formales (0,04 × 459.489 = 18.380) menos en estas comunas, en comparación con un contrafactual en el que estas comunas hubieran seguido una trayectoria similar a la de las comunas menos expuestas. Esto equivale aproximadamente al 0,4% del empleo formal total a nivel nacional.
De forma análoga, cuando la comparación se restringe al cuartil de comunas menos expuestas frente al cuartil de comunas más expuestas (Figura 25), el efecto estimado aumenta a aproximadamente -7%. Dado que el empleo formal promedio en 2022 en el cuartil de mayor exposición es de 135.659 trabajadores, el orden de magnitud del impacto en niveles sería de aproximadamente 9.500 empleos (0,07 × 135.659). Esto representa aproximadamente el 0,2% del empleo formal total a nivel nacional. Si bien estos cálculos constituyen una estimación aproximada y omiten posibles cambios en tendencias macroeconómicas y efectos de equilibrio general, son útiles para dimensionar el orden de magnitud de los resultados y para subrayar que los coeficientes estimados están influenciados desproporcionadamente por comunas relativamente pequeñas, por lo que no deben interpretarse directamente como impactos agregados a nivel nacional.
Impactos sobre empleo total e informal
Hasta ahora, el análisis se ha centrado en los efectos de las alzas del salario mínimo sobre el empleo formal, utilizando datos administrativos del Seguro de Cesantía, que por definición solo registran relaciones laborales formales. Sin embargo, tanto trabajadores como empresas pueden ajustar su comportamiento ante incrementos del salario mínimo desplazando parte del empleo hacia arreglos informales o, alternativamente, hacia la no ocupación. En ese sentido, una caída en el empleo formal no implica necesariamente una caída equivalente en el empleo total: también puede reflejar cambios en la composición entre empleo formal, informal y no ocupación.
Para evaluar la magnitud de este posible desplazamiento, se utilizan datos de la Encuesta Nacional de Empleo (ENE), una encuesta de corte transversal repetido, representativa a nivel nacional, que incluye información sobre la condición de informalidad laboral. En este estudio, el empleo informal se define como aquel en que el trabajador no cotiza a pensión o a seguridad social. De manera análoga a los ejercicios con datos administrativos, el análisis se concentra en trabajadores de 18 a 55 años.
Dado que la ENE tiene una representación geográfica más limitada que los registros administrativos, se adapta la medida de exposición para hacerla consistente con su nivel de desagregación. En particular, se utiliza una medida análoga a la empleada en los ejercicios anteriores (el porcentaje de trabajadores que reciben salarios iguales o inferiores a 1,25 veces el salario mínimo), pero definida a nivel de provincia en lugar de a nivel de comuna.
Además de agregar al nivel de la provincia, en vez de la comuna, hay otra diferencia metodológica. Mientras la ubicación del empleo de la base de datos del seguro de cesantía se refiere a la empresa, de hecho, a la ubicación de la casa matriz, la ubicación en el ENE se refiere a la residencia del individuo. En las estimaciones anteriores, si un individuo cambia la comuna donde trabaja, se reflejará como una disminución del empleo en una comuna y el aumento en otra. En la base de datos del ENE, si un individuo cambia la provincia donde trabaja, sin cambiar de residencia, no se observaría un cambio de empleo a nivel de provincia.
Sobre esta base, se estima el impacto de las alzas del salario mínimo en la probabilidad relativa de empleo formal e informal mediante una regresión a nivel de provincia de la forma:

donde 𝑝 indexa a la provincia, y 𝑡 al año. 𝑦 representa una de tres variables dependientes: la primera corresponde al logaritmo del número de individuos empleados (tanto formal como informalmente), la segunda corresponde al logaritmo del número de empleados formales, y la última corresponde al logaritmo del número de empleados informales en la provincia. La exposición al salario mínimo está representada por 𝑆 ; 𝛼 representa efectos fijos de provincia y 𝛾 representa efectos fijos de año. La estimación utiliza los factores de expansión muestral de la ENE y los errores estándar se agrupan a nivel de provincia.

Los resultados se presentan en la Figura 27, que muestra la evolución diferencial de la ocupación formal, informal y total entre provincias con mayor y menor exposición inicial al salario mínimo, en relación con el año base 2022. Los coeficientes estimados capturan diferencias relativas en el crecimiento del empleo asociadas a la exposición al salario mínimo. En términos generales, los resultados para ocupación total son mayoritariamente nulos: tras 2022 los coeficientes se mantienen cercanos a cero y con intervalos de confianza amplios, lo que sugiere ausencia de cambios sistemáticos y estadísticamente precisos en el nivel total de ocupación entre provincias más y menos expuestas al salario mínimo.
Para la ocupación formal, se observa una señal leve de reducción relativa del orden de 4% en 2023-2024 para las provincias más expuestas, aunque con precisión limitada. Esta magnitud es consistente con los efectos estimados en los ejercicios a nivel de comuna utilizando datos administrativos de la Base del Seguro de Cesantía (BSC) que por definición solo miden empleo formal. A su vez, los coeficientes de ocupación informal posteriores a 2022 tienden a ubicarse levemente por encima de cero, lo que sugiere potencialmente un patrón de sustitución desde empleo formal hacia empleo informal; sin embargo, la evidencia es imprecisa y no permite establecer conclusiones firmes.
Estos resultados deben, sin embargo, interpretarse con cautela. La amplitud de los intervalos de confianza sugiere que la potencia estadística del ejercicio a nivel provincial es limitada. En este sentido, la discrepancia en la precisión entre los resultados provinciales y los obtenidos a nivel de comuna probablemente refleja que el impacto del salario mínimo se identifica con mayor nitidez en mercados laborales locales (esto es, comunas) particularmente afectados, donde la variación en exposición es más marcada. Por ello, tomamos estos hallazgos principalmente como evidencia descriptiva: en el mejor de los casos, apuntan a un efecto agregado pequeño en ocupación total y a una posible recomposición marginal desde formalidad hacia informalidad en las provincias relativamente más expuestas, sin que ello pueda interpretarse como una estimación causal estricta del impacto del salario mínimo.
Pruebas de Robustez:
Para evaluar la robustez de las estimaciones principales, la Figura A7, Figura A8 y Figura A9 del apéndice presentan una batería de pruebas alternativas basadas en distintas especificaciones. Si bien los distintos conjuntos de estimaciones difieren levemente en magnitud, en todos los casos los efectos estimados son cualitativamente consistentes con los obtenidos en la especificación principal. En primer lugar, la Figura A7 reporta resultados utilizando una medida alternativa de exposición comunal, definida como la fracción de trabajadores que perciben entre 1 y 1,25 veces el salario mínimo, en lugar de la fracción que gana igual o menos de 1,25 veces el mínimo; esta especificación busca evaluar la sensibilidad de los resultados a un posible error de medición en la medida principal de exposición derivado de la presencia de trabajadores de tiempo parcial que aparecen con ingresos mensuales inferiores al salario mínimo sin que ello implique un salario horario bajo. En segundo lugar, la Figura A8 presenta estimaciones que excluyen a todas las comunas de la Región Metropolitana de Santiago, lo que permite verificar que los efectos promedio no estén impulsados exclusivamente por esta región, que concentra una fracción sustantiva del empleo agregado. Finalmente, la Figura A9 presenta los resultados obtenidos al redefinir la unidad geográfica de agregación a nivel de Mercados Laborales Funcionales (Functional Labor Market Areas), siguiendo la clasificación de Rowe, Casado Díaz, & Martínez- Bernabéu (2017), que agrupa comunas de acuerdo con patrones efectivos de desplazamientos laborales y busca capturar de manera más precisa las dinámicas de los mercados laborales locales.
Las estimaciones a nivel de Mercados Laborales Funcionales muestran efectos ligeramente más atenuados tanto sobre el salario promedio como sobre el empleo. Esto puede deberse a que, especialmente en las grandes urbes con alta movilidad intercomunal, parte de los ajustes observados a nivel de comuna reflejan cambios en el lugar de trabajo dentro de un mismo mercado laboral. Motivado por esta hipótesis, una sección posterior del reporte explora directamente si los efectos observados a nivel de comuna podrían explicarse por la reasignación de trabajadores entre comunas, y no necesariamente por reducciones netas en la creación de empleo a nivel agregado. No se encuentra evidencia de que la moderación del crecimiento del empleo formal en las comunas más expuestas esté impulsada por un mecanismo de reubicación generalizada desde comunas altamente expuestas hacia comunas menos expuestas.
Efectos en el empleo por tramos salariales
El ejercicio principal a nivel de comuna estima el efecto promedio sobre el empleo formal total, lo que combina trabajadores potencialmente muy expuestos al salario mínimo con otros cuyos salarios se sitúan suficientemente por encima del umbral y que, por tanto, deberían verse menos afectados. Con el fin de explorar si las reducciones en empleo se concentran en los trabajadores más afectos al salario mínimo, replicamos la especificación comunal principal restringiendo la muestra a trabajadores cuyo salario se ubica por encima o por debajo de distintos múltiplos del salario mínimo.
Los resultados de estas estimaciones se presentan en la Figura A10 del Apéndice. En cada panel se reportan los coeficientes del estudio de eventos para el logaritmo del empleo formal, manteniendo la misma definición de exposición (indicador dicotómico que separa comunas por encima y por debajo de la mediana de la fracción de trabajadores con salarios ≤ 1,25×SM). Los resultados refuerzan la interpretación causal de los hallazgos principales al mostrar que los efectos negativos en empleo se concentran en los trabajadores más cercanos al salario mínimo, mientras que para los trabajadores de salarios más altos los efectos estimados son cercanos a cero y no estadísticamente significativos.
El panel (a) de la Figura A10 muestra que al restringir la muestra a trabajadores que ganan hasta dos veces el salario mínimo, el efecto estimado sobre el empleo formal en 2025 alcanza una magnitud cercana a −8%. En contraste, para los trabajadores que ganan más de dos veces el salario mínimo (panel (b)), la reducción estimada es mínima, con una magnitud en torno al −1% y solo estadísticamente significativa en el año 2023. Al modificar los umbrales salariales, esta divergencia en los efectos se acentúa: el impacto estimado sobre el empleo de los trabajadores que ganan hasta tres veces el salario mínimo alcanza alrededor de −5,5% en 2025, mientras que para los trabajadores que ganan más de tres veces el salario mínimo el efecto es nulo. El mismo patrón se observa al estimar los efectos para trabajadores que ganan hasta cuatro veces el salario mínimo y para aquellos cuyos salarios superan ese umbral. En conjunto, estos resultados muestran que las reducciones en el crecimiento del empleo formal en las comunas más expuestas están impulsadas principalmente por los trabajadores relativamente más cercanos al salario mínimo, mientras que para los trabajadores con salarios más altos las alzas del salario mínimo no se traducen en reducciones sistemáticas en empleo.
Como ejercicio adicional, estimamos nuevamente el estudio de eventos a nivel de comuna restringiendo la muestra a trabajadores con salarios de hasta 2 veces el salario mínimo, y dividiendo las comunas según cuartiles de exposición (Q2, Q3 y Q4, con Q1 como categoría base). Los resultados, presentados en la Figura A11 en el apéndice, muestran un gradiente claro: las caídas en el empleo son crecientes con el nivel de exposición, y la magnitud del efecto es sustantivamente mayor al comparar el cuartil más expuesto con el menos expuesto. En particular, en 2025 el diferencial entre Q4 y Q1 alcanza aproximadamente –12%, lo que equivale a cerca de 2,5 veces el impacto estimado usando la muestra total de trabajadores (–5%; Figura 26).
Movilidad laboral entre comunas
Una posible explicación para la caída relativa del empleo formal observada en las comunas más expuestas al salario mínimo es que esto responde, al menos parcialmente, a una reacomodación espacial: trabajadores que antes trabajaban en comunas más expuestas podrían estar desplazándose hacia comunas menos expuestas, de modo que la caída en empleo sería local pero no necesariamente agregada.
Esta preocupación se ve parcialmente atenuada por el hecho de que al replicar el análisis utilizando unidades geográficas más agregadas tales como los mercados laborales funcionales (Figura A9 en el apéndice) se obtienen resultados cualitativamente similares a los estimados a nivel de comuna.
Adicionalmente, una forma directa de explorar esta hipótesis es medir, con datos de la Base del Seguro de Cesantía, cuántos trabajadores formales cambian de comuna de un período al siguiente y cómo evoluciona esa movilidad en comunas con distinta exposición al salario mínimo. Para ello, construimos medidas agregadas de movimientos intercomunales a partir de los registros mensuales del BSC y comparamos su trayectoria entre comunas más y menos expuestas antes y después de 2022.16
Los resultados de este ejercicio se presentan en la Figura A12 en el apéndice. No se observan cambios importantes en los patrones de migración laboral entre comunas después de los incrementos del SM en 2023. Por lo tanto, este ejercicio sugiere que la reducción en el crecimiento del empleo neto en las comunas más expuestas no parece estar impulsada por un mecanismo de reubicación generalizada de trabajadores que transitan de comunas más expuestas a comunas menos expuestas.