Apéndice
Figuras y Tablas Adicionales
La transmisión del salario mínimo en la base de la distribución también se observa a nivel comunal: La Figura A1 y Figura A2 muestran la distribución del crecimiento mensual del percentil 20 para dos grupos de comunas según su posición relativa al salario mínimo en el mes previo al ajuste: comunas ancladas al salario mínimo, cuyo percentil 20 coincidía exactamente con el salario mínimo, y comunas por encima del salario mínimo, donde el percentil 20 se ubicaba por encima de ese umbral.
De manera similar, en los meses previos a los aumentos (abril y agosto), la gran mayoría de las comunas cuyo percentil 20 estaba anclado al salario mínimo mostraba un crecimiento nulo en este percentil, reflejando una marcada rigidez salarial en la base de la distribución. Sin embargo, en los meses de incremento del salario mínimo, entre el 80% y el 90% de estas comunas registraron un aumento del percentil 20 exactamente igual al del nuevo salario mínimo, evidenciando un efecto de transmisión inmediata y mecánica. En contraste, las comunas cuyos salarios se ubicaban por encima del salario mínimo no presentan variaciones significativas, lo que sugiere que el impacto directo de la política se concentra comunas más expuestas.


Pruebas de Robustez – Estimaciones a nivel individual

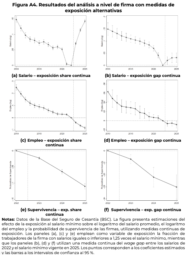
Robustez a medidas de Exposición Alternativas.
La Figura A4 y Figura A5 presentan ejercicios de robustez que evalúan la sensibilidad de los resultados a definiciones alternativas de exposición al salario mínimo, tanto en el análisis a nivel de firma como en el análisis agregado de mercado laboral local. En particular, además de la medida principal —la fracción de trabajadores que percibía un salario igual o inferior a 1,25 veces el salario mínimo en el periodo base—, se reportan especificaciones que (i) utilizan dicha exposición en su versión continua y (ii) emplean una medida alternativa de wage gap que captura la intensidad con la que los aumentos del salario mínimo presionan la estructura salarial de cada unidad de análisis.
Esta medida cuantifica el “gap” salarial entre los niveles de remuneración de los trabajadores en 2022 y el salario mínimo vigente en 2025. Para cada comuna 𝑐, se define como:

donde 𝑤 es el salario mensual promedio del trabajador 𝑖 a lo largo de todos los meses de 2022, ∑ ∈ 𝑤 corresponde a la totalidad de la nómina salarial promedio de la firma en 2022 y ∑ ∈ 𝑀𝑎𝑥 0, 𝑆𝑀 − 𝑤 representa el monto adicional que sería necesario para llevar el salario de todos los trabajadores de la firma al menos hasta el salario mínimo de 2025.
De manera análoga, el “gap” salarial a nivel de firma cuantifica la distancia en los niveles de remuneración de los trabajadores en 2022 con el salario mínimo vigente en 2025. Para cada firma 𝑗, se define como

Donde 𝑤 corresponde al salario mensual promedio del trabajador a lo largo de todos los meses de 2022, ∑ ∈ 𝑤 representa la totalidad de la nómina salarial promedio de la firma en 2022 y ∑ ∈ 𝑀𝑎𝑥 0, 𝑆𝑀 − 𝑤 es el monto adicional que sería necesario para llevar el salario de todos los trabajadores de la firma al menos hasta el salario mínimo de 2025. Ambas medidas buscan capturar qué tan vinculantes fueron las alzas del salario mínimo en cada firma.





Pruebas de Robustez adicionales
En la Figura A7, Figura A8 y Figura A9 se presentan pruebas de robustez adicionales para las estimaciones principales a nivel comunal, utilizando especificaciones alternativas: (i) una medida alternativa de exposición (trabajadores entre 1 y 1,25 veces el salario mínimo), (ii) estimaciones excluyendo a la Región Metropolitana, y (iii) agregación geográfica a nivel de Mercados Laborales Funcionales (Rowe, Casado Díaz, & Martínez-Bernabéu, 2017), definidos según patrones de integración y desplazamientos laborales.



Efectos heterogéneos en el empleo para trabajadores en distintos tramos salariales


Movilidad laboral entre comunas
Para explorar el mecanismo de reubicación laboral entre comunas, descomponemos el cambio en el empleo comunal en cuatro flujos que, en conjunto, determinan el nivel de empleo formal en cada comuna. En particular, calculamos cuatro flujos de trabajadores que en conjunto determinan el cambio en el empleo neto de cada comuna:
- (i) El número de trabajadores que llegan desde otras comunas (trabajadores que en 𝑡 − 1 trabajaban formalmente en otra comuna y en 𝑡 pasan a trabajar en la comuna);
- (ii) La creación de empleo formal dentro de la comuna (trabajadores que no estaban en el registro formal en 𝑡 − 1 y aparecen como ocupados formales en 𝑡);
- (iii) Las salidas de trabajadores hacia otras comunas (trabajadores que en 𝑡 trabajaban en la comuna y en 𝑡 + 1 pasan a trabajar formalmente en otra comuna);
- (iv) La destrucción de empleo formal en la comuna (trabajadores que en 𝑡 trabajaban en la comuna y en 𝑡 + 1 dejan de figurar como asalariados formales en la Base del Seguro de Cesantía).
Los resultados muestran tendencias no paralelas antes de 2023, y los patrones observados después de 2023 sugieren que las comunas más expuestas reciben, sorprendentemente, un mayor número de trabajadores provenientes desde otras comunas (panel a) y, a su vez, tienen un leve aumento en la salida de trabajadores hacia otras comunas (panel b). En paralelo, los resultados indican que en las comunas más expuestas la creación de empleo formal tiende a ser menor en los años posteriores a 2022 (panel c), mientras que la destrucción de empleo formal tiende a ser mayor, con un repunte particularmente visible hacia 2025 (panel d).
En conjunto, los resultados muestran que el cambio neto en el empleo de las comunas más expuestas combina un efecto relativamente modesto en el flujo neto (salidas y llegadas) de trabajadores entre comunas con cambios más claros en los márgenes de creación y destrucción de empleo formal. Aun cuando hay alguna evidencia de mayor movilidad espacial total (un mayor movimiento de trabajadores tanto hacia como afuera de las comunas más expuestas), el efecto neto negativo en empleo parece deberse principalmente a un mayor número de salidas y un menor número entradas de trabajadores al empleo asalariado formal.
Es importante notar que La Base del Seguro de Cesantía registra la ubicación geográfica asociada al RUT pagador de la firma empleadora, lo que puede diferir del lugar efectivo de trabajo. En consecuencia, una fracción de los desplazamientos laborales entre comunas no queda reflejada en estos registros y la medida utilizada debe interpretarse como una aproximación de la movilidad laboral intercomunal. Adicionalmente, los resultados exhiben pretendencias en varios de los flujos al comparar comunas más y menos expuestas, lo que sugiere que las dinámicas diferían ya antes del período de interés; por tanto, estos resultados deben interpretarse solo como evidencia sugestiva y descriptiva, y no como estimaciones de naturaleza estrictamente causal.















